
Modeling
Detectability Analysis for Surface Microseismic Monitoring
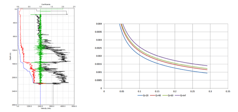
Comprehensively analyze the detectability of surface microseismic monitoring with elastic or viscoelastic full wavefield modelling

Main features
- Velocity model building
- Specify a double-couple source
- Geometry setup for surface and downhole geophones
- Elastic or viscoelastic full wavefield modelling
- Multicomponent records
- Transmission analysis
- Amplitude and energy analysis
- Snapshot of wavefield and seismic records



